Počítadlo desetiletí je digitální počítací obvod, který prochází deseti stavy a poté opakuje sekvenci. Tvoří důležitou součást mnoha digitálních systémů, které vyžadují desetinné počítání nebo dělení frekvence. Tento článek vysvětluje princip fungování čítačů dekád, jejich vnitřní strukturu, časování, běžné implementace integrovaných obvodů a praktické aplikace v elektronických obvodech.

Přehled počítadla desetiletí
Počítadlo desetiletí je digitální čítač, který počítá přes deset stavů, od 0 do 9, a poté se vrací na 0, aby zopakoval sekvenci. Protože funguje v deseti stavech, nazývá se také Mod-10 čítač. V mnoha obvodech poskytuje desetiletý čítač binárně kódovaný desetinný (BCD) výstup, kde každé desetinné číslo je reprezentováno čtyřmi binárními bity.
Čítač desetiletí je odvozen ze čtyřbitového binárního čítače, který obvykle reprezentuje šestnáct stavů. Přidává se další logika, která omezuje počet pouze na prvních deset stavů, takže počítadlo se resetuje po dosažení desátého stavu. Tento stejný princip lze také použít k vytvoření dalších modulových čítačů, které se opakují po vybraném počtu stavů.
Desetiletá protioperace
Počítadlo desetiletí postupuje přes deset pevných binárních stavů, přičemž každý hodinový pulz přesouvá počítaní do dalšího stavu.
Sekvence je:
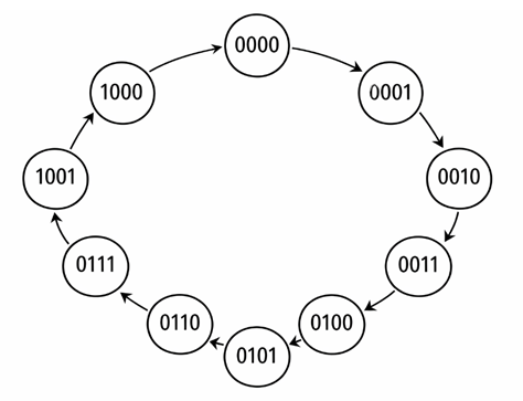
0000 → 0001 → 0010 → 0011 → 0100 → 0101 → 0110 → 0111 → 1000 → 1001
Po desátém stavu se čítač vrací na 0000 a sekvence se opakuje. Nejméně významný bit se mění při každém hodinovém pulzu, zatímco bity vyššího řádu se mění podle binárního vzoru počítání.
Tabulka pravdivosti počítadla desetiletí
| Hodinový pulz | QD | QC | QB | QA |
|---|---|---|---|---|
| 0 | 0 | 0 | 0 | 0 |
| 1 | 0 | 0 | 0 | 1 |
| 2 | 0 | 0 | 1 | 0 |
| 3 | 0 | 0 | 1 | 1 |
| 4 | 0 | 1 | 0 | 0 |
| 5 | 0 | 1 | 0 | 1 |
| 6 | 0 | 1 | 1 | 0 |
| 7 | 0 | 1 | 1 | 1 |
| 8 | 1 | 0 | 0 | 0 |
| 9 | 1 | 0 | 0 | 1 |
Pravdivostní tabulka ukazuje, jak čtyři výstupní bity představují desetinné hodnoty od 0 do 9 v binárně kódované desetinné formě. QA je nejméně významný bit (LSB), takže se mění při každém hodinovém pulzu. Každý řádek odpovídá stavu přečítače po hodinovém pulzu. Po dosažení počtu 9 se čítač vrátí do počátečního stavu a sekvence začíná znovu.
Diagram stavu počítadla desetiletí

Každý stav odpovídá čtyřbitové výstupní hodnotě a šipky ukazují přechod, který nastává po každém hodinovém pulzu. Diagram vizuálně potvrzuje, že čítač prochází deseti stavy, než se vrátí k výchozímu bodu.
Schéma obvodu desetiletého čítače

Obvod pro počítadlo desetiletí lze sestavit ze čtyř klopných obvodů propojených do binární počítací struktury. Je zde zahrnuta další logika pro omezení počtu na deset stavů.
Obvod detekuje binární hodnotu 1010, což odpovídá desetinnému číslu. Když se tento stav objeví, NAND hradlo generuje LOW signál, který aktivuje clearové vstupy klopných obvodů. Tento signál resetuje všechny výstupy na 0000, čímž zabraňuje pokračování čítače do zbývajících binárních stavů.
Protože reset nastává ihned po objevení desátého stavu, čítač opakovaně prochází pouze deseti stavy. V závislosti na konstrukci lze použít různé typy klopných obvodů, jako jsou JK, D nebo T.
Časový diagram počítadla desetiletí

Časový diagram ukazuje, jak se výstupy čítače mění s každým hodinovým pulzem. Jak počet postupuje od 0 do 9, QA se mění při každém pulzu, zatímco bity vyššího řádu se mění méně často podle binární sekvence počítání. Výstupní vzor se opakuje každých deset hodinových pulzů, což umožňuje počítadli dekád fungovat jako obvod dělení deseti.
74LS90 Počítadlo desetiletí IC

74LS90 je široce používaný IC s počítadlemi desetiletí navržený pro počítání dělením deseti. Obsahuje vnitřní klopné obvody a logiku potřebnou k počítání od 0 do 9 a následném návratu na 0. Čip poskytuje čtyři výstupy QA, QB, QC a QD, které představují počet v binárně kódované desítkové (BCD) formě. Když počet dosáhne 10, interní resetovací akce vyčistí výstupy zpět na 0000. 74LS90 má také resetovací vstupy, které lze použít k vyčištění počtu nebo nastavení specifických podmínek čítače. Více čipů 74LS90 lze připojit dohromady a vytvořit tak větší počítací obvody.
Binární čítač vs počítadlo desetiletí

| Funkce | Binární čítač | Počítadlo dekád |
|---|---|---|
| Rozsah počítání | 0 až 2ⁿ − 1 | 0 až 9 |
| Modulus | Mocnina dvou | Mod-10 |
| Formát výstupu | Binární | BCD |
| Stav resetu | Po maximálním stavu | Po roce 1001 |
| Běžné použití | Obecné počítání | Desetinné displeje |
Kaskádové čítače desetiletí

Jeden počítadlo desetiletí může počítat pouze od 0 do 9. Pro větší rozsahy počítání jsou počítadlo dvou nebo více desetiletí propojeno v sérii nebo kaskádové. V tomto uspořádání první čítač zpracovává číslici jednotky, druhý číslici desítek a třetí číslici stovky. To umožňuje počítat rozsahy jako 00 až 99 nebo 000 až 999. Kaskádové čítače dekád jsou široce používány v obvodech, které vyžadují vyšší kapacitu počítání, jako jsou digitální hodiny, počítadlo událostí, měřicí přístroje a frekvenční měřiče.
Aplikace počítadel desetiletí

• Digitální hodiny a časovače – Počítadlo sleduje sekundy, minuty a hodiny v systémech měření času.
• Frekvenční dělení obvodů – Desetiletý čítač dělí vstupní frekvenci deseti, což pomáhá generovat hodinové signály s nižší frekvencí pro digitální systémy.
• Přístroje pro měření frekvence – U frekvenčních čítačů je vstupní signál přiveden k čítači, zatímco hradlový pulz umožňuje počítat v pevném časovém intervalu. Počet impulsů sečtených během tohoto období představuje frekvenci signálu.
• Digitální zobrazovací systémy – Počítadlo dekád funguje s BCD dekodéry a sedmisegmentovými displeji v kalkulačkách, měřičích a digitálních čítačích.
• Systémy pro počítání událostí – Používají se v monitorování výroby, testovacích zařízeních a systémech pro sběr dat k zaznamenání počtu událostí nebo pulzů.
Závěr
Počítadlo dekád poskytuje řízenou desetistavovou sekvenci počítání, která přirozeně zapadá do digitálních systémů založených na desetinném systému. Kombinací klopných obvodů s resetovací logikou omezují počet na hodnoty od 0 do 9 a cyklus se opakuje. Jejich jasná struktura, kompatibilita s výstupy BCD a schopnost kaskády z nich činí praktické součásti v mnoha digitálních obvodech pro počítání a měření.
Často kladené otázky [FAQ]
Jak se počítadlo desetiletí resetuje po dosažení 9?
Počítadlo dekád se resetuje pomocí logiky, která detekuje binární hodnotu reprezentující desetinnou desítku (1010). Když se tento stav objeví, signál resetu vymaže všechny klopné obvody zpět na 0000. Tento automatický reset zabraňuje tomu, aby čítač vstoupil do zbývajících stavů čtyřbitového binárního čítače, čímž se sekvence omezuje na deset počtů.
Jaký je rozdíl mezi BCD počítačem a dekádovým počítadlem?
BCD čítač vypisuje čísla pomocí binárně kódovaného desetinného formátu, kde je každá desetinná číslice reprezentována čtyřmi bity. Počítadlo dekád je typ BCD čítače, který počítá od 0 do 9 a pak se resetuje. V praxi je mnoho dekádových čítačů implementováno speciálně k produkci výstupu BCD.
Lze počítat dekád použít k dělení frekvencí jiných než 10?
Ano. Zatímco dekádový čítač přirozeně dělí signál deseti, jeho výstupy lze kombinovat s externí logikou a vytvořit další dělicí poměry. Resetováním čítače na zvolený stav před dosažením 10 může obvod fungovat jako jiný modulový počítač, například dělit 5 nebo dělit 6.
Jaké faktory omezují maximální rychlost počítadla desetiletí?
Maximální provozní rychlost závisí na zpoždění šíření klopných obvodů a logických hradel uvnitř čítače. V ripple counterech každá úroveň postupně spouští další, což přidává zpoždění. Toto kumulativní zpoždění omezuje, jak rychle může počítadlo reagovat na příchozí hodinové pulzy.
Jak jsou počítadlo dekád propojeno se sedmisegmentovými displeji?
Čítač dekád produkuje čtyřbitový výstup BCD, který reprezentuje čísla od 0 do 9. Tento výstup se připojuje k dekodéru BCD na sedm segmentů, který převádí binární hodnotu na správné segmentové signály pro displej. Displej pak zobrazí odpovídající desetinnou číslici.